行业知识

齿轮箱振动信号处理方法分享

2022-08-10 11:12:17 科威设备

齿轮箱振动信号处理方法分享

1、时域特征值

图片关键词


2、时域波形

从时域波形上可以直观的看出故障,特别是设备出现局部损伤故障时,因为局部损伤在时域中为短促陡峭的幅值变化,容易识别。

图片关键词


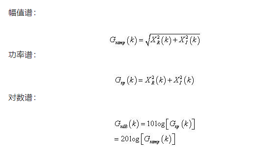
3、幅值谱分析

傅里叶变换是频域分析的基础,通过它可以将连续的时间域函数变换成连续的频率域函数,从而观察信号的频率分布,同样也可以将频率域函数变换到时间域,观察信号的波形特征。

图片关键词


幅值谱代表了该谐波频率时域信号的有效值,功率谱是信号的功率,能够突出主要频率成分,对数谱能够用来观察所有的频率成分。


4、细化谱分析

在齿轮箱故障诊断中,齿轮、轴承或轴发生故障时,一般出现以齿轮的啮合频率或固有频率为中心频率,以齿轮所在轴的转频或轴承通过频率为调制频率的调制边频带。调制边频带包含丰富的故障信息,一般这些边频带的中心频率较高,而调制频率很低,要分析边频带的细微结构就要采用频谱细化分析。


频谱细化分析方法的步骤是:首先复调制,将要分析的频带移到以零为中心对称的频带,然后对移频后分析频带以外的高频成分滤波,重抽样,最后做FFT及谱分析。


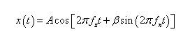
5、包络谱分析


(1)信号分析

图片关键词

频率调制表达式为:

图片关键词


齿轮振动信号的调制现象中包含有丰富的故障信息。


解调分析能从信号中提取调制信息,因而得到了广泛的应用。在齿轮箱故障诊断中,齿轮、轴或滚动轴承发生故障时,往往会出现以齿轮所在轴的转频或滚动轴承通过频率为调制频率的调制边频带,应用解调分析就可以提取出调制信息,分析其强度和频次就可以判断齿轮箱产生故障的部位和损伤程度。


(2)包络解调分析

希尔伯特变换是常用的振动信号解调方法 利用希尔伯特变换进行信号包络的原理是让测试信号产生一个90°的相移,从而与原信号构成一个解析信号,此解析信号即构成包络信号振动信号的希尔伯特变换定义为:

图片关键词


对包络信号作频谱分析,就可以检测出信号中存在的调制频率成分,这些成分包含了信号的故障频率。在包络解调过程中,首先要确定频带的中心频率,选择合适的带宽,利用希尔伯特变换构造出包络信号,对包络信号进行频谱分析,就能检测出信号中存在的调制频率成分,包络解调的难点在于故障频带域的选择。


工程应用上经常把它和其它的方法结合一起来使用,如自相关包络解调、小波包络解调等等,这样可以免除故障频带域的选择,提高故障诊断的准确性。

图片关键词

图片关键词


图中“2”:重构——包络调节分析


6、谱峭度及快速峭度图


(1)谱峭度

图片关键词


(2)快速谱峭度图

为了获取基于谱峭度的最优滤波器的参数,将谱峭度作为STFT(短时傅里叶变换)窗口宽度的函数提出了峭度图的概念。由于计算中心频率和STFT 窗口所有组合的峭度图费时又不便于工程实践的应用,进一步提出了快速峭度图的概念。快速峭度图是一种原理上类似于离散小波包分解的快速算法,能够得到与峭度图同一水平的结果但是计算时间显著减少。在二维快速峭度图像中横坐标代表频率f纵坐标则表示分解的层数K ,频率分辨率,图像上的颜色深浅表示不同f和下的谱峭度值。最后将采用快速峭度图计算出来的最大谱峭度值所对应的f和作为检测滤波器的参数。


(3)基于快速谱峭度图的故障诊断


诊断流程:

对故障信号进行小波分解或EEMD(总体平均经验模式分解);


信号重构;

计算重构信号的快速峭度图,将谱峭度值最大处对应的中心频率和带宽作为带通滤波器的参数;

对重构信号进行滤波之后作包络分析;

利用最终获得的包络谱与滚动轴承故障特征频率进行故障诊断。

图片关键词


(4)故障诊断 数据分析及结论

由某齿轮箱故障数据可知轴的转速n=1772rpm(fr=29.53Hz),采样频率fs=12000Hz,由轴承参数计算得到的内圈故障特征频率fI=159.9Hz。

图片关键词

图片关键词

图片关键词

图片关键词

从平方包络谱图中可以清晰地看到故障频率159.8 Hz及其倍频,从而可以诊断出该轴承存在明显的内圈故障。



TAG: 齿轮箱
首页
产品
新闻
联系